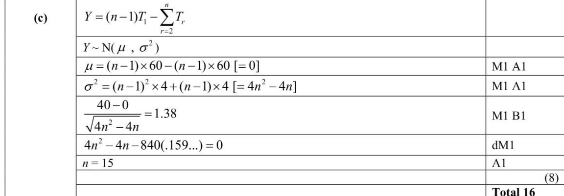
A company makes cricket balls and tennis balls. The weights of cricket balls, $$\(C\)$$ grams, follow a normal distribution $$\[ C \sim \mathrm{N}\left(160,1.25^{2}\right) \]$$ Three cricket balls are selected at random. find $$\(n\)$$. (8)
Exam No:WST03_01_que_20201013 Year:2020 Question No:7(c)
Answer:
Knowledge points:
1. Combinations of random variables
Solution:
Download APP for more features
1. Tons of answers.
2. Smarter Al tools enhance your learning journey.
IOS
Download
Download
Android
Download
Download
Google Play
Download
Download
