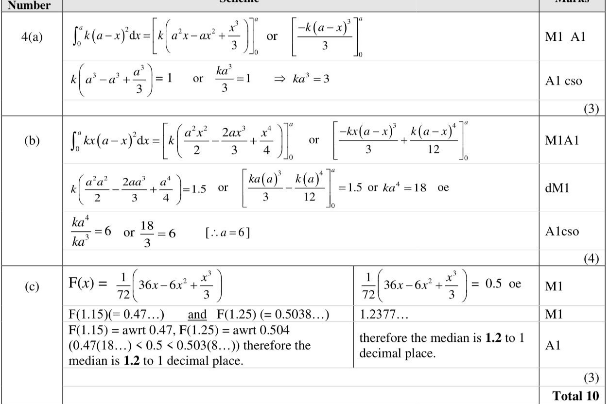
A continuous random variable $$\(X\)$$ has probability density function $$\[ \mathrm{f}(x)=\left\{\begin{array}{cc} k(a-x)^{2} & 0 \leqslant x \leqslant a \\ 0 & \text { otherwise } \end{array}\right. \]$$ where $$\(k\)$$ and $$\(a\)$$ are constants. (a) Show that $$\(k a^{3}=3\)$$ (3) Given that $$\(\mathrm{E}(X)=1.5\)$$ (b) use algebraic integration to show that $$\(a=6\)$$ (4) (c) Verify that the median of $$\(X\)$$ is 1.2 to one decimal place. (3)
Exam No:WST02_01_que_20210304 Year:2021 Question No:4
Answer:
Knowledge points:
3. Continuous distributions
Solution:
Download APP for more features
1. Tons of answers.
2. Smarter Al tools enhance your learning journey.
IOS
Download
Download
Android
Download
Download
Google Play
Download
Download
