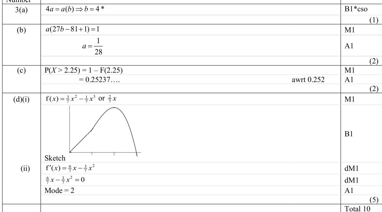
A continuous random variable $$\(X\)$$ has cumulative distribution function $$\[ \mathrm{F}(x)=\left\{\begin{array}{lr} 0 & x< 0 \\ 4 a x^{2} & 0 \leqslant x \leqslant 1 \\ a\left(b x^{3}-x^{4}+1\right) & 1< x \leqslant 3 \\ 1 & x> 3 \end{array}\right. \]$$ where $$\(a\)$$ and $$\(b\)$$ are positive constants. (a) Show that $$\(b=4\)$$ (1) (b) Find the exact value of $$\(a\)$$ (2) (c) Find $$\(\mathrm{P}(X> 2.25)\)$$ (2) (d) Showing your working clearly, (i) sketch the probability density function of $$\(X\)$$ (ii) calculate the mode of $$\(X\)$$ (5)
Exam No:WST02_01_que_20211016 Year:2021 Question No:3
Answer:
Knowledge points:
3. Continuous distributions
Solution:
Download APP for more features
1. Tons of answers.
2. Smarter Al tools enhance your learning journey.
IOS
Download
Download
Android
Download
Download
Google Play
Download
Download
