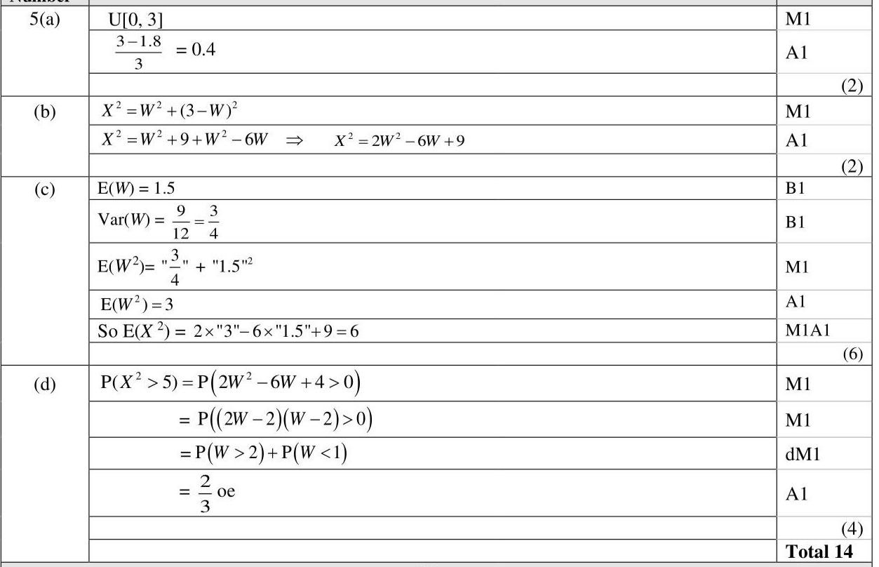
A piece of wood $$\(A B\)$$ is 3 metres long. The wood is cut at random at a point $$\(C\)$$ and the random variable $$\(W\)$$ represents the length of the piece of wood $$\(A C\)$$. (a) Find the probability that the length of the piece of wood $$\(A C\)$$ is more than 1.8 metres. (2) The two pieces of wood $$\(A C\)$$ and $$\(C B\)$$ form the two shortest sides of a right-angled triangle. The random variable $$\(X\)$$ represents the length of the longest side of the right-angled triangle. (b) Show that $$\(X^{2}=2 W^{2}-6 W+9\)$$ (2) [You may assume for random variables $$\(S, T\)$$ and $$\(U\)$$ and for constants $$\(a\)$$ and $$\(b\)$$ that if $$\(S=a T+b U\)$$ then $$\(\mathrm{E}(S)=a \mathrm{E}(T)+b \mathrm{E}(U)]\)$$ (c) Find $$\(\mathrm{E}\left(X^{2}\right)\)$$ (6) (d) Find $$\(\mathrm{P}\left(X^{2}> 5\right)\)$$ (4)
Exam No:WST02_01_que_20210304 Year:2021 Question No:5
Answer:
Knowledge points:
2. Continuous random variables
Solution:
Download APP for more features
1. Tons of answers.
2. Smarter Al tools enhance your learning journey.
IOS
Download
Download
Android
Download
Download
Google Play
Download
Download
