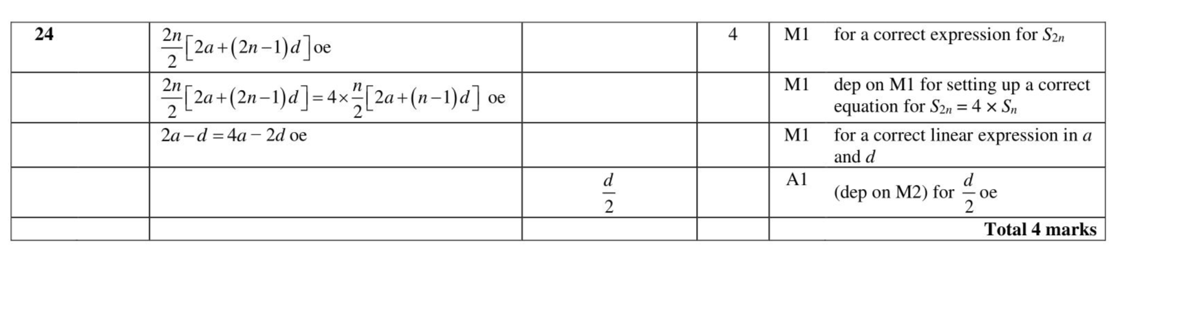
An arithmetic series has first term $$\(a\)$$ and common difference $$\(d\)$$. The sum of the first $$\(2 n\)$$ terms of the series is four times the sum of the first $$\(n\)$$ terms of the series. Find an expression for $$\(a\)$$ in terms of $$\(d\)$$. Show your working clearly. $$\(a=\)$$
Exam No:4MA1_1H_que_20210304 Year:2021 Question No:IGCSE&ALevelMathematics2021IG1650
Answer:
Knowledge points:
3: Sequences, functions and graphs
Solution:
Download APP for more features
1. Tons of answers.
2. Smarter Al tools enhance your learning journey.
IOS
Download
Download
Android
Download
Download
Google Play
Download
Download
