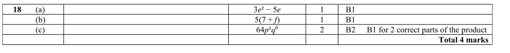
Expand $$\(e(3 e-5)\)$$ (1) (b) Factorise $$\(35+5 f\)$$ (1) (c) Simplify $$\(\left(4 p q^{2}\right)^{3}\)$$ (2)
Exam No:4MA1_2FR_que_20200305 Year:2020 Question No:18
Answer:
Knowledge points:
2: Equations, formulae and identities
Solution:
Download APP for more features
1. Tons of answers.
2. Smarter Al tools enhance your learning journey.
IOS
Download
Download
Android
Download
Download
Google Play
Download
Download
