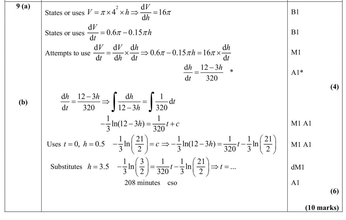
Figure 4 shows a cylindrical tank that contains some water. The tank has an internal diameter of $$\(8 \mathrm{~m}\)$$ and an internal height of $$\(4.2 \mathrm{~m}\)$$. Water is flowing into the tank at a constant rate of $$\((0.6 \pi) \mathrm{m}^{3}\)$$ per minute. There is a tap at point $$\(T\)$$ at the bottom of the tank. At time $$\(t\)$$ minutes after the tap has been opened, - the depth of the water is $$\(h\)$$ metres - the water is leaving the tank at a rate of $$\((0.15 \pi h) \mathrm{m}^{3}\)$$ per minute (a) Show that $$\[ \frac{\mathrm{d} h}{\mathrm{~d} t}=\frac{12-3 h}{320} \]$$ (4) Given that the depth of the water in the tank is $$\(0.5 \mathrm{~m}\)$$ when the tap is opened, (b) find the time taken for the depth of water in the tank to reach $$\(3.5 \mathrm{~m}\)$$. (6)
Exam No:WMA14_01_que_20211029 Year:2021 Question No:9
Answer:
Knowledge points:
5. Differentiation
6. Integration
Solution:
Download APP for more features
1. Tons of answers.
2. Smarter Al tools enhance your learning journey.
IOS
Download
Download
Android
Download
Download
Google Play
Download
Download
