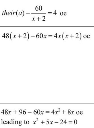
Gaya spends $$\(\$ 48\)$$ to buy books that cost $$\(\$ x\)$$ each. Myra spends $$\(\$ 60\)$$ to buy books that cost $$\(\$(x+2)\)$$ each. Gaya buys 4 more books than Myra. Show that $$\(x^{2}+5 x-24=0\)$$
Exam No:0580_m21_qp_42 Year:2021 Question No:11(b)
Answer:
Knowledge points:
E1.11.1 Demonstrate an understanding of ratio and proportion. (To include numerical problems involving direct and inverse proportion.)
E1.11.2 Increase and decrease a quantity by a given ratio.
E1.11.3 Calculate average speed. (Use ratio and scales in practical situations.)
E1.11.4 Use common measures of rate. (Formulae for other rates will be given in the question e.g. pressure and density.)
E2.3.1 Manipulate algebraic fractions.
E2.3.2 Factorise and simplify rational expressions.
Solution:
Download APP for more features
1. Tons of answers.
2. Smarter Al tools enhance your learning journey.
IOS
Download
Download
Android
Download
Download
Google Play
Download
Download
