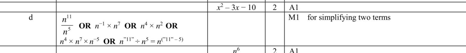
Simplify fully $$\(\frac{n^{4} \times n^{7}}{n^{5}}\)$$ (2)
Exam No:4MA1_1FR_que_20200305 Year:2020 Question No:16(d)
Answer:
Knowledge points:
1: Numbers and the number system
Solution:
Download APP for more features
1. Tons of answers.
2. Smarter Al tools enhance your learning journey.
IOS
Download
Download
Android
Download
Download
Google Play
Download
Download
