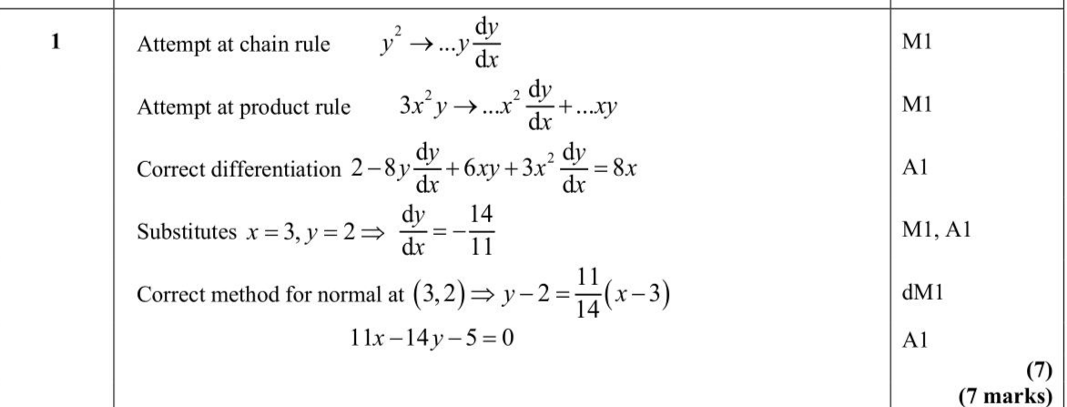
The curve $$\(C\)$$ has equation $$\[ 2 x-4 y^{2}+3 x^{2} y=4 x^{2}+8 \]$$ The point $$\(P(3,2)\)$$ lies on $$\(C\)$$. Find the equation of the normal to $$\(C\)$$ at the point $$\(P\)$$, writing your answer in the form $$\(a x+b y+c=0\)$$ where $$\(a, b\)$$ and $$\(c\)$$ are integers to be found. (7)
Exam No:WMA14_01_que_20211029 Year:2021 Question No:1
Answer:
Knowledge points:
2. Algebra and functions
5. Differentiation
Solution:
Download APP for more features
1. Tons of answers.
2. Smarter Al tools enhance your learning journey.
IOS
Download
Download
Android
Download
Download
Google Play
Download
Download
