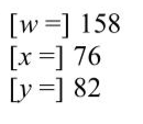
The diagram shows two parallel lines intersecting two straight lines. Find the values of $$\(w, x\)$$ and $$\(y\)$$. $$\[ \begin{aligned} & w=\ldots \ldots \ldots \ldots \ldots \ldots \ldots \ldots \ldots \ldots \ldots \ldots . . . . . . . . . . . . . . . . . . . . . . . \\ & x=\ldots . . . . . . . . . . . . . . . . . . . . . . . . . . . . . . . . . . . . . . . . . . \\ & y=\ldots . . . . . . . . . . . . . . . . . . . . . . . . . . . . . . . . . . . . . . . \end{aligned} \]$$
Exam No:0580_s25_qp_21 Year:2025 Question No:2
Answer:
Knowledge points:
C2.1.2 Substitute numbers for words and letters in formulae.
Solution:
Download APP for more features
1. Tons of answers.
2. Smarter Al tools enhance your learning journey.
IOS
Download
Download
Android
Download
Download
Google Play
Download
Download
