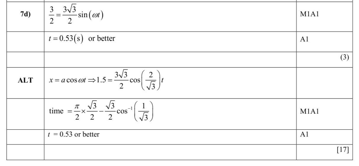
The fixed points $$\(A\)$$ and $$\(B\)$$ are $$\(7 \mathrm{~m}\)$$ apart on a smooth horizontal surface. A light elastic string has natural length $$\(2 \mathrm{~m}\)$$ and modulus of elasticity $$\(4 \mathrm{~N}\)$$. One end of the string is attached to a particle $$\(P\)$$ of mass $$\(2 \mathrm{~kg}\)$$ and the other end is attached to $$\(A\)$$ Another light elastic string has natural length $$\(3 \mathrm{~m}\)$$ and modulus of elasticity $$\(2 \mathrm{~N}\)$$. One end of this string is attached to $$\(P\)$$ and the other end is attached to $$\(B\)$$ The particle $$\(P\)$$ rests in equilibrium at the point $$\(O\)$$, where $$\(A O B\)$$ is a straight line, as shown in Figure 4. (a) Show that $$\(O A=2.5 \mathrm{~m}\)$$. (4) The particle $$\(P\)$$ now receives an impulse of magnitude $$\(6 \mathrm{~N}\)$$ s in the direction $$\(O B\)$$ (b) (i) Show that $$\(P\)$$ initially moves with simple harmonic motion with centre $$\(O\)$$ (ii) Determine the amplitude of this simple harmonic motion. (8) The point $$\(C\)$$ lies on $$\(O B\)$$. As $$\(P\)$$ passes through $$\(C\)$$ the string attached to $$\(B\)$$ becomes slack. (c) Find the speed of $$\(P\)$$ as it passes through $$\(C\)$$ (2) (d) Find the time taken for $$\(P\)$$ to travel directly from $$\(O\)$$ to $$\(C\)$$ (3)
Exam No:WME03_01_que_20210430 Year:2021 Question No:7
Answer:
Knowledge points:
2. Elastic strings and springs
3. Further dynamics
5. Statics of rigid bodies
Solution:
Download APP for more features
1. Tons of answers.
2. Smarter Al tools enhance your learning journey.
IOS
Download
Download
Android
Download
Download
Google Play
Download
Download
