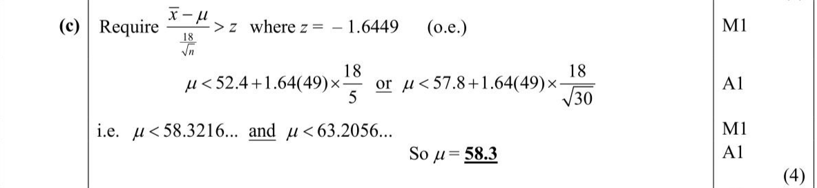
The scores in a national test of seven-year-old children are normally distributed with a standard deviation of 18 A random sample of 25 seven-year-old children from town $$\(A\)$$ had a mean score of 52.4 Find the largest possible value for $$\(\mu\)$$. (4)
Exam No:WST03_01_que_20210304 Year:2021 Question No:4(c)
Answer:
Knowledge points:
3. Estimation, confidence intervals and tests
Solution:
Download APP for more features
1. Tons of answers.
2. Smarter Al tools enhance your learning journey.
IOS
Download
Download
Android
Download
Download
Google Play
Download
Download
