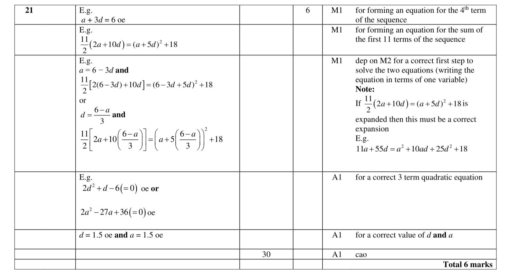
The $$\(n\)$$th term of an arithmetic series is $$\(u_{n}\)$$ where $$\(u_{n}> 0\)$$ for all $$\(n\)$$ The sum to $$\(n\)$$ terms of the series is $$\(S_{n}\)$$ Given that $$\(u_{4}=6\)$$ and that $$\(S_{11}=\left(u_{6}\right)^{2}+18\)$$ find the value of $$\(u_{20}\)$$
Exam No:4MA1_1HR_que_20210304 Year:2021 Question No:IGCSE&ALevelMathematics2021IG1674
Answer:
Knowledge points:
2: Equations, formulae and identities
Solution:
Download APP for more features
1. Tons of answers.
2. Smarter Al tools enhance your learning journey.
IOS
Download
Download
Android
Download
Download
Google Play
Download
Download
